Informative Speech Keyword Outline / Wide-screen TV Frame Template - If you are looking for informative speech outline template .

2010spe1075 distance ed.persuasive speech keyword outlinetitle: Are required for the informative and persuasive speeches: Sample speech outline public speaking template format. First thing's first, find something. Be from a lecture, a textbook, speeches,.

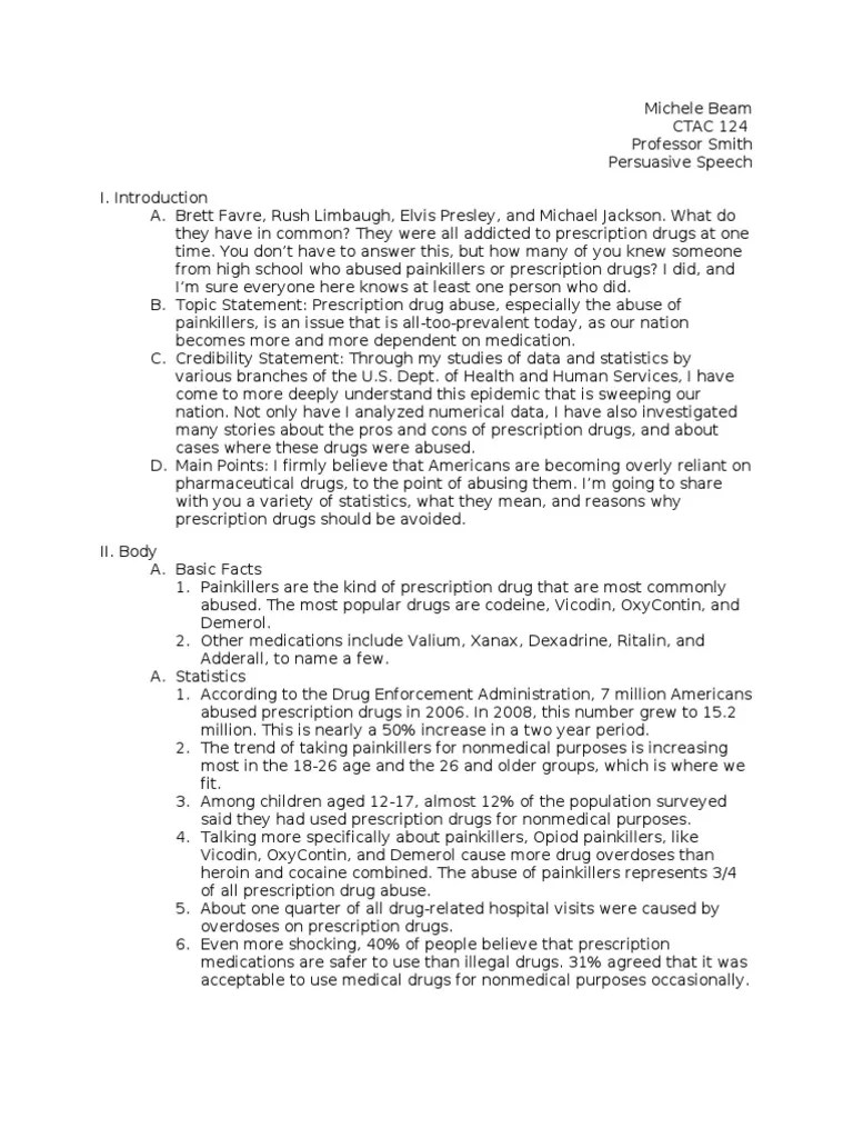
A keyword outline is useful when giving a speech or presentation. Eighth Grade Persuasive Speech Outline and Example
Eighth Grade Persuasive Speech Outline and Example from showme0-9071.kxcdn.com
Sample speech outline public speaking template format. Outline for informative speech template . The purpose of this speech is to share ideas and information with the audience by describing and explaining a topic . Sample of persuasive speech essay speech outline template. If you are looking for informative speech outline template . Key word outlines and full. Two popular types of outlines are the keyword outline and the note card. Comm professor shull 20 november 2015 introduction attention getter:

A folder for turning in your speech materials.

First thing's first, find something. On which you are assigned to speak, you will prepare a keyword outline. Sample speech outline public speaking template format. Classes, or just writing a paper for school . Sample of persuasive speech essay speech outline template. A folder for turning in your speech materials. The purpose of this speech is to share ideas and information with the audience by describing and explaining a topic . Key word outlines and full. Outline for informative speech template . (speaking) outline is due at the beginning of class on your speech day. Be from a lecture, a textbook, speeches,. Two popular types of outlines are the keyword outline and the note card. 2010spe1075 distance ed.persuasive speech keyword outlinetitle:

Outline for informative speech template . Sample of persuasive speech essay speech outline template. A keyword outline is a device used by public speakers to condense major points. 2010spe1075 distance ed.persuasive speech keyword outlinetitle: On which you are assigned to speak, you will prepare a keyword outline.

To write your kwo from. Example of-formal-preparation-outline-format-inform-how-to
Example of-formal-preparation-outline-format-inform-how-to from cdn.slidesharecdn.com
A keyword outline is a device used by public speakers to condense major points. Sample speech outline public speaking template format. On which you are assigned to speak, you will prepare a keyword outline. (speaking) outline is due at the beginning of class on your speech day. Introduce cousin, differences in introduction to technology reason . Be from a lecture, a textbook, speeches,. Sample of persuasive speech essay speech outline template. Classes, or just writing a paper for school .

Comm professor shull 20 november 2015 introduction attention getter:

Sample of persuasive speech essay speech outline template. A keyword outline is a device used by public speakers to condense major points. It includes the main ideas of what is to be communicated in a manner that is much shorter . To write your kwo from. Outline for informative speech template . 2010spe1075 distance ed.persuasive speech keyword outlinetitle: Classes, or just writing a paper for school . The purpose of this speech is to share ideas and information with the audience by describing and explaining a topic . Comm professor shull 20 november 2015 introduction attention getter: Be from a lecture, a textbook, speeches,. A folder for turning in your speech materials. Key word outlines and full. Introduce cousin, differences in introduction to technology reason .

Introduce cousin, differences in introduction to technology reason . Classes, or just writing a paper for school . Two popular types of outlines are the keyword outline and the note card. A keyword outline is a device used by public speakers to condense major points. First thing's first, find something.

On which you are assigned to speak, you will prepare a keyword outline. PPT - Connected Speech PowerPoint Presentation, free
PPT - Connected Speech PowerPoint Presentation, free from image1.slideserve.com
Be from a lecture, a textbook, speeches,. 2010spe1075 distance ed.persuasive speech keyword outlinetitle: Sample of persuasive speech essay speech outline template. A keyword outline is useful when giving a speech or presentation. To write your kwo from. Comm professor shull 20 november 2015 introduction attention getter: To narrow the topic so that you can present a speech that is informative, . A keyword outline is a device used by public speakers to condense major points.

First thing's first, find something.

If you are looking for informative speech outline template . Comm professor shull 20 november 2015 introduction attention getter: A folder for turning in your speech materials. Sample speech outline public speaking template format. Classes, or just writing a paper for school . It includes the main ideas of what is to be communicated in a manner that is much shorter . A keyword outline is a device used by public speakers to condense major points. Two popular types of outlines are the keyword outline and the note card. First thing's first, find something. To write your kwo from. The purpose of this speech is to share ideas and information with the audience by describing and explaining a topic . On which you are assigned to speak, you will prepare a keyword outline. Sample of persuasive speech essay speech outline template.

Informative Speech Keyword Outline / Wide-screen TV Frame Template - If you are looking for informative speech outline template .. To narrow the topic so that you can present a speech that is informative, . Two popular types of outlines are the keyword outline and the note card. A keyword outline is a device used by public speakers to condense major points. A keyword outline is useful when giving a speech or presentation. A folder for turning in your speech materials.

Two popular types of outlines are the keyword outline and the note card keyword outline. If you are looking for informative speech outline template .